Спілка «Совість» ліквідує корупцію методами боротьби з «колорадами» і ритуалом клятви
- За рік ми не знайшли жодної держструктури, не враженої корупцією, - сказав очільник громадської спілки «Совість» Володимир Демиденко під час прес-конференції у дискусійному клубі «Експертна думка».
На думку пана Демиденка, ефективною є не протидія, а запобігання корупції.
Головне – це запобігання корупції, яке робить корупційні дії болісними.
Він навів приклад з біології – виведення сорту картоплі з волохатим листям як спосіб запобігання розповсюдженню колорадського жука.
Карними методами корупцію на думку Демиденка не перемогти, адже той, хто його перемагає, зацікавлений у її збереженні.
Заслугою «Совісті» є запобігання дерибану комунальним підприємством 120 тисяч гривень на закупівлю катафалку. Близько 100 тисяч вдалося вберегти громадськими перевірками у геріатричних закладах.
Проте не усьому вдається запобігти. Городнянський відділ освіти РДА примудрився закупити 280 тон вугілля по 2300 грн. при ціні на ринку у 1458 грн., і таких прикладів багато.
Перевірка Держказначейства також дали дивовижні результати: інформація у казначействі зникла, люди звільнені, плани з повернення ПДВ перевиконані.
- Ми також вигнали Дусяка з Чернігівщини, але не вигнали дусяківщину, - сказав Володимир Демиденко, акцентуючи на загальній перемозі роботодавців.
Фахівці «Совісті» є авторами змін до податкового законодавства, які позитивно вплинули на стан підприємців.
Корупцію можна подолати методами соціальної педагогіки, коли громадяни не будуть ментально сприймати корупцію.
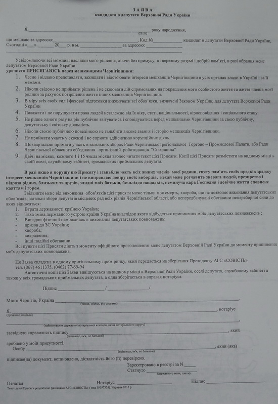
Механізми протидії – моральна і фінансова відповідальність депутата. «Совість» пропонує кожному кандидату по округу 205 скласти присягу цікавого змісту:
.jpg)
.jpg)
Також «Совість» запропонує кандидатам виписати вексель на користь чернігівської громади на суму, яку він вважає за потрібне. У разі зради виборця вексель буде пред’явлений депутату для оплати.
На думку Володимира Демиденка, рівень корупції на Чернігівщині таки знизився саме під впливом революції Гідності.
| Версія для друку Відправити по e-mail Обговорити на форумі |
| Переглядів : 8263 |
































Коментарі (3)
Народний | 2015-07-11 14:27
1 | 2015-07-11 09:54
патріот | 2015-07-09 21:40